Adivinar el precio futuro de un activo es el sueño de todos. Un profesor que tuve en la universidad decía que incluso si Dios te dijera el precio de mañana de un activo, no iba a ser suficiente porque tenían que estar todos de acuerdo (¿armamos un comité de dioses entonces?).
El mundo ha evolucionado bastante en este tema en las últimas décadas, abordándolo desde distintas perspectivas: económica, matemática, también desde el derecho (regulatoria) e incluso psicológica. Por esta vez nos saltaremos la arqueología de los precios e iremos a su sabrosa historia contemporánea, que involucra premios Nobel y papers para acá y para allá.
¿Qué es un precio? Un ejemplo
Partamos por lo fundamental. Un precio es el valor que un mercado le da a un activo en un momento determinado. En lo esencial, está determinado por la oferta y la demanda.
Por ejemplo, tenemos el reciente caso del aceite: por la guerra en Ucrania, la oferta se contrajo; además, al ver que el precio estaba subiendo la gente empezó a tener pánico y acumular antes de que subiera más aún (1). Entonces, si bien las curvas de demanda y oferta son independientes, pueden darse casos donde vayan en sentido contrario y esto produce una intensificación en el efecto.
Es más, de acuerdo a la teoría modelamiento de precios de activos (CAPM) desarrollada en los años 60 por varios autores, entre ellos Jack Treynor y William F. Sharpe (Nobel de economía en 1990), ambas curvas están en constante movimiento buscando su equilibrio. Se asume que todos los inversores quieren maximizar su utilidad y al momento de ir recogiendo nueva información este equilibrio se va ajustando. El punto de equilibrio de ambas curvas, donde se intersectan, es el precio exacto para un activo en un momento determinado y aceptado por todos.
Podemos representar el precio con la siguiente fórmula:

Donde P(t0) es el precio de hoy, y E(r) es lo que esperamos que sea su retorno. Entonces, el precio de mañana de un activo dependerá de ambos términos.
En esta última variable se abre la caja de Pandora. Porque para determinar este valor entran en juego muchos factores: desde modelos matemáticos revisados y aceptados por la industria financiera, hasta sentimientos de inversores. Por eso decía que hasta la psicología juega un rol acá: el área que lo estudia se llama Behavioural Finance (psicología del comportamiento) y le ha entregado premios Nobel de economía a psicólogos como Daniel Kanheman. Un buen libro para iniciarse en la tesis por la que fue galardonado Khaneman es “The undoing project”, de Michael Lewis. Ahí explica que las personas consistentemente tomamos malas decisiones en momentos de incertidumbre debido a que no somos tan racionales como creemos. ¿Se sienten identificados? Yo también.
Pero que las personas no sean robots tomando decisiones tiene un aspecto positivo en nuestra búsqueda por acercarnos al precio de mañana. Es que el mercado no es perfecto (no está en equilibrio) y por tanto existen anomalías que podemos explotar 🤯
Las anomalías en finanzas
Una anomalía es una desviación con respecto a la normalidad. En finanzas las estudiamos pensando en que cumplan dos condiciones: que sean consistentes en el tiempo (por ejemplo el rally navideño) y que exista una rentabilidad anormal sin explicación basada en fundamentos.
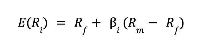
Esto es precisamente lo que han buscado académicos alrededor del mundo durante las últimas décadas. La base para la mayoría de los trabajos ha sido el CAPM. Para su construcción este modelo toma 3 variables: Tasa libre de riesgo (Rf), sensibilidad del activo al mercado (Beta) y retorno de mercado (Rm). La tasa libre de riesgo es el retorno de un activo sin riesgo (suena obvio), como los activos que emite el gobierno de Estados Unidos; la sensibilidad del activo al mercado es cuánto le afecta al retorno los movimientos de todos los activos a la vez; y el retorno de mercado es cuánto rinden todos los activos de mercado a la vez (representado generalmente por un índice de mercado).
Podemos presentar esta fórmula de la siguiente manera:

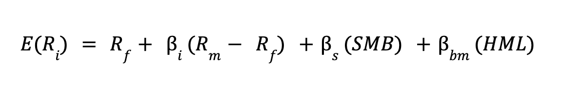
Vámonos a 1992: aparecen unos personajes centrales en las finanzas contemporáneas: Eugene Fama y Kenneth French (aka F&F), quienes agregan al modelo anterior (CAPM) factores nuevos, que pueden explicar de mejor forma, más granularizada, el retorno esperado para un activo.

Añaden 2 factores: el tamaño de la empresa y su valor de mercado versus su valor contable. Respecto al tamaño, indican que existe una anomalía en el mercado dependiendo de la capitalización de la empresa, dividiéndolas en pequeñas (small caps) o grandes (large caps). El otro factor identificado fue el ratio libro a mercado (B/M), donde clasifican a las acciones como Value (B/M >1) y Growth (B/M <1).
La evidencia hoy en día es disímil y ninguno de estos factores ha generado retornos positivos consistentemente. Pero lo que demuestran ellos no es una estrategia ganadora, lo que evidencian es que existen retornos anormales y consistentes cuando observamos estos factores. Ciertamente este paper, que revolucionó la industria, es hoy en día el más citado en finanzas (en Google Scholar tiene más de 25 mil citas) y de él se desprenden no solo cientos de trabajos académicos posteriores, sino que también un cambio en la forma de invertir para toda una industria: un paper game-changer.

Todo muy bien con Fama y French, pero no son la última dupla en esta historia: Narasimhan Jegadeesh y Sheridan Titman (aka JAT), publican en el año 1993 un nuevo artículo disruptivo. Ellos estudian y demuestran una estrategia ganadora basada en una especie de racha que tienen las acciones que les ha ido bien un tiempo, y que luego tendrían “un vuelito” que hace que sigan subiendo. Este efecto fue llamado Momentum.
La dupla JAT establece dos valores claves para su construcción: uno para determinar la ventana temporal que se debe tomar para considerar ganadora/perdedora una acción y otro valor para determinar cuánto dura esta racha de las acciones ganadoras, donde “el vuelito” hace que sigan subiendo un determinado tiempo. Determinaron que estos números eran 12 y 3: se necesita que a la acción le vaya bien por 12 meses, para tener un “vuelito” posterior de 3 meses más. Esta estrategia entregaba un retorno 1.3% por sobre lo normal (2).
Esta estrategia activa que si bien tenía algunos supuestos muy poco sostenibles en el mundo real (leer nota (2)) dio pie para que las estrategias activas de inversión volvieran a la carga y se mostrara con evidencia académica que sí hay estrategias que pueden rendir sistemáticamente sobre lo normal.
La respuesta de F&F llegaría unos años más tarde. En 1996 publican un artículo llamado “Multifactor Explanations of Asset Pricing Anomalies”, donde profundizan su modelo y realizan distintas pruebas para explicar esta nueva evidencia que había surgido. Entre otras cosas dividen las acciones en portafolios de acuerdo al tamaño (SMB) y relación libro mercado (HML) en deciles y distintos percentiles. Entre sus principales conclusiones está que si bien no pueden explicar “el vuelito” de las acciones ganadoras, la mayor parte de este retorno se explica con los factores ya demostrados en su modelo. Lo restante se podría deber a defectos del experimento académico: problemas con el CAPM (el modelo base), en una mala elección del portafolio de mercado, algunas decisiones irracionales de mercado o problemas estadísticos (de muestreo, entre otros).
Si bien esta explicación fue aceptada académicamente, lo cierto es que en los años siguientes el momentum llegó para quedarse y fue base de modelos posteriores. Por ejemplo Carhart (1997) toma lo mejor de ambos mundos y crea un modelo de 4 factores: el modelo de 3 factores de F&F más el momentum.
En el epílogo de esta historia tenemos de nuevo a F&F, quienes lanzan en 2014 con un modelo de 5 factores, tomando sus 3 primeros factores y sumando una variable relacionada a la inversión y otra a la rentabilidad operacional de las firmas. Con este modelo continúan en su empedernida lucha por encontrar explicación a las anomalías en los retornos.
Aunque su impacto fue bajo (solo 995 citas en Google Scholar), entre otras razones porque su réplica requiere de mucho trabajo en datos y porque no se termina de adaptar bien al mercado accionario actual dominado por firmas tecnológicas (donde la inversión en capital fijo ya es baja, por ejemplo).

Hoy en día puedes encontrar modelos con más de 10 factores, y los factores como variables explicativas de los retornos se han consensuado en la industria como una forma correcta de modelar el retorno de cualquier activo.
En Fintual queremos que construyas patrimonio con calma, siguiendo una estrategia de inversión pasiva, pero entendemos que tal vez tú puedes querer combinarla con estrategias activas. Por eso, si te convenció alguno de estos factores, en Fintual Acciones puedes encontrar algunos ETF que siguen particularmente alguna de estas variables. Acá te los dejamos:
- iShares MSCI USA Momentum Factor ETF (-1.94% últimos 30 dias).
- Vanguard Large-Cap ETF (4.85% ultimos 30 días).
- Vanguard Small Cap ETF (6.43% ultimos 30 días).
- Vanguard Growth ETF (6.87% ultimos 30 días).
- Vanguard Value ETF (1.57% ultimos 30 días).
*Recuerda que rentabilidades pasadas no aseguran rentabilidades futuras.
- Esto ha pasado con toda clase de activos, hace unos años una cryptomoneda chilena pasó de valer $25 a casi $10.000 en cuestión de semanas. Oferta estable contra una demanda enorme en un breve lapso de tiempo.
- Si bien este artículo fue realizado correctamente desde un punto de vista metodológico, son sus supuestos lo que pone en duda su puesta en práctica en el mundo real. Entre ellos suponían que todas las acciones eran igual de líquidas y que no habían costos de transacción. Solo estos dos puntos pueden influir de manera importante en el retorno de un portfolio. Por último, añadir que es una estrategia carísima, porque se mantiene abierto el portfolio y se debe ir rebalanceando constantemente porque de mantenerlo el sobre retorno se pierde al poco tiempo después (2 años).