Un breve repaso
En la parte I explicamos que, para reducir la ambigüedad de la pregunta, en la literatura académica sobre la felicidad se suele distinguir entre dos tipos diferentes de bienestar:
Evaluación de la vida: la valoración global que una persona hace de su vida, su satisfacción general con la vida que tiene. En inglés se llama life evaluation o evaluative well-being.
Bienestar emocional: qué tan bien o mal se siente una persona durante los momentos de su vida. Se refiere a la calidad emocional de la experiencia del día a día de una persona. En inglés se le dice emotional well-being o experienced well-being.
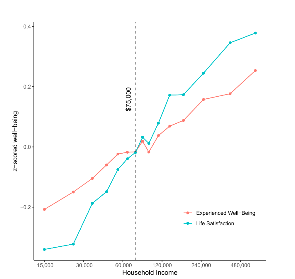
En la parte I también exploramos un artículo académico popular de Daniel Kahneman y Angus Deaton publicado en el 2010 en donde concluyen que ingresos adicionales mejoran la evaluación de la vida y el bienestar emocional, aunque de forma desigual. El estudio sugiere que la evaluación de la vida no deja de mejorar conforme aumentan los ingresos, mientras que el bienestar emocional se mantiene estable una vez alcanzado cierto nivel (aproximadamente 75.000 USD anuales), a partir del cual la gente se siente similar en su día a día aunque tenga más dinero.
Dos premios Nobel de cabeza
La forma en que Kahneman y Deaton (K&D) midieron el bienestar emocional de las personas entrevistadas tiene algunas imperfecciones: primero, las preguntas eran sobre la emociones de ayer y no sobre las del momento actual (lo cual introduce sesgos de juicio y memoria); segundo, las respuestas solo podían ser sí o no (lo cual impide crear una escala diferenciada); finalmente, cada persona fue interrogada una sola vez.
Matthew A. Killingsworth, un investigador de la universidad de Pennsylvania, tuvo el coraje de cuestionar a dos premios Nobel y realizar una nueva investigación, esta vez empleando una metodología más robusta para medir las emociones de las personas. Killingsworth utilizó reportes en tiempo real del bienestar emocional de las personas mediante el envío de notificaciones a sus teléfonos móviles. Cada persona fue interrogada en docenas de ocasiones con la pregunta “¿Cómo te sientes ahora mismo?”, y podían responder a lo largo de una escala que iba de “muy mal” a “muy bien”. De forma complementaria, en algunas ocasiones se les preguntó también sobre emociones específicas, por ejemplo “¿Te sientes enojado | aburrido | triste | etc?”.
El resultado fue un artículo titulado Experienced well-being rises with income, even above $75,000 per year. El artículo llega a la misma conclusión que el de Kahneman y Deaton respecto a la relación entre los ingresos y la evaluación global de la vida: mientras más, mejor.
Esto no es controversial ni sorprendente. ¿Han visto cómo camina Jeff Bezos al bajar de su helicóptero? ¿Creen que va a calificar su vida con un 4 sobre 10?
Los artículos disienten respecto a la relación entre el dinero y el bienestar emocional. El estudio de Killingsworth sugiere que el bienestar crece de forma lineal con el ingreso.

Killingsworth postula que los estudios difieren en esta cuestión debido a las diferencias metodológicas: aunque hubiera una relación lineal entre el ingreso y el bienestar emocional, el estudio de Kahneman y Deaton sería incapaz de detectarla, ya que las personas solo podían responder “sí” o “no”, y alrededor del 80% de las personas con altos ingresos habían respondido “sí” el máximo número posible de veces.
La resolución de las contradicciones
Los mejores investigadores no buscan tener la razón sino comprender mejor algún fenómeno relevante. Así que Kahneman y Killingsworth se reunieron en lo que se conoce como una colaboración adversarial —con Barbara Mellers como facilitadora— para escribir un tercer artículo académico titulado Income and emotional well-being: A conflict resolved, en el cual responden a la pregunta, ¿cómo es posible que dos patrones diferentes se encuentren en los mismos datos? Es decir, no realizaron nuevas encuestas, sino que miraron con ojos críticos los resultados previos.
Los autores encontraron un par de hipótesis que permiten reconciliar ambos estudios: la primera es que existe una minoría infeliz para la cual el dinero no puede mejorar su bienestar emocional después de cierto punto; la segunda es que para las personas más felices, mayores ingresos generan aumentos en el bienestar emocional a un ritmo que se acelera conforme los ingresos aumentan. Acaso sea más fácil de explicar ambas con ayuda de un gráfico.

Esos diagramas informales expresan de forma simplificada lo que los autores publicaron en el artículo citado:

Esto explica por qué Killingsworth no pudo detectar el patrón de aplanamiento que Kahenman y Deaton reportaron. Por el otro lado, como ya se mencionó, Kahneman y Deaton encontraron un patrón excesivamente aplanado por el uso de preguntas binarias. Curiosamente, los autores comentan que habrían encontrado un patrón similar al de Killingsworth de haber graficado la infelicidad en vez de la felicidad, dado que había una mayor diferenciación en las respuestas.
Los autores concluyen que en los rangos inferiores de ingresos, las personas relativamente infelices se benefician más de los aumentos en ingresos que las personas relativamente felices. Esa tendencia se revierte en los rangos superiores de ingresos, donde las personas felices se benefician más de los aumentos en ingresos que las infelices. Pero hay algo aún más sorprendente en las conclusiones de este tercer artículo.
Por último, una pizca de sal
Hay una sección realmente fascinante en este último artículo que hemos mencionado. Los autores comentan que la relación entre el dinero y la felicidad, si bien es estadísticamente robusta, también es débil. Para ilustrar el punto, reportan que la diferencia en la mediana de felicidad entre los hogares con ingresos anuales de 15.000 USD y la de los hogares con ingresos anuales de 250.000 USD es de aproximadamente cinco puntos en una escala sobre cien. De forma aún más sorprendente, reportan que el efecto aproximado del cambio en el bienestar por que se cuadrupliquen tus ingresos es similar al efecto positivo de que llegue el fin de semana, y “menos de un tercio del efecto que tiene una migraña”.
Siendo totalmente sincero, esto me generó más preguntas que respuestas. Reflexionando con cuidado, sin embargo, podemos notar que los estudios capturan la complejidad de la experiencia humana. Como ya se demostró, el dinero no puede solucionar todos tus problemas emocionales, pero es innegable que te ayuda a construir una vida que se asimila a lo que tú consideras “tu mejor vida posible”. Como explican Brad Klontz y Adrian Brambila en Start Thinking Rich, el dinero puede ayudarnos en todos los niveles de la pirámide de Maslow, desde comprar comida hasta satisfacer nuestras necesidades espirituales (por ejemplo, con suficiente dinero puedes dejar tu trabajo y viajar hacia retiros en otras partes del mundo).
Personalmente creo que el reto consiste en tener la honestidad intelectual de reconocer los beneficios que aporta el dinero sin por ello convertirlo en la meta última de nuestras vidas. Hay algo inexplicablemente bello en la anécdota de Diógenes rechazando las ofertas de Alejandro Magno, tan bello que lo recordamos miles de años después, pero es igualmente bello saber que tienes los ahorros suficientes para atender cualquier emergencia, o que puedes renunciar a tu trabajo si no te gusta.
Lo más increíble de todo es que una cosa no excluye a la otra, y que acaso hay preguntas que son más interesantes que sus respuestas. Por extraño que parezca, con un pie en la ciencia y otro en la sabiduría de la filosofía o aun de la religión, uno se puede sentir muy bien parado, casi como si estuviera en el lugar correcto.